Laclede County R-1 Schools
Home
Job Openings
District
  • About
  • School Board
  • Administrators
  • Food Dept.
  • Nursing Dept.
  • CSIP
  • Employment
    • Job Openings
    • Salary Schedules
  • FEMA Safe Room
    • FEMA Safe Room Information
    • FEMA Building Community Letter
    • Safe Room Special Needs form
    • Safe Room TPZ Zone
    • Safe Room Floor Plan
  • Virtual Instruction
  • Foster/Homeless Contact
  • Trauma-Informed School
  • Surplus Property
  • Lead Testing Results
Parents
  • Forms / Resources
  • Parent Pick-Up
  • LCR1 Calendar
  • LCR1 Calendar
Staff
  • TeacherEase
  • Penmac
  • Frontline
  • Google Classroom
  • Faculty/Staff Special Leave Request Form
Athletics
  • Athletic Director
  • Sports Schedules
  • Conway Hall of Fame
  • Facilities Request Form
  • MSHSAA Brain Injury Report
  • Pre-Participation Physical Form 
Elementary
  • Forms
  • Lunch Menu
  • Calendar
  • Programs / Resources
    • PBIS
    • Yearbook
  • Library Resources
    • Follett Destiny Online
    • Destiny Discover
High School
  • HS Forms
  • Lunch Menu
  • HS Counselor
  • JH Counselor
  • Programs / Resources
    • GOCAPS Lake Region
    • Yearbook
    • PBIS
  • Library Resources
    • Follett Destiny Online
    • Destiny Discover
    • Mrs. Howerton's Virtual Classroom
Special Services
  • Special Education
  • Special Services Director
  • Section 504
  • Homebound Instruction
  • ESL
  • Early Childhood Special Education
  • Federal Programs
    (Title Services)
  • Student Services Resource Center

Resources

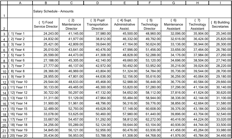
Certified Schedule-2525 Classified Schedules-2526 Building Service Schedule-2526

Salary Schedules

   Certified Salary Schedule

Certified Salary

   Classified Salary Schedule

Certified Salary Certified Salary

   Building Service Schedule

Building Service Salary

  Laclede County R-1 School District


Ezard Elementary: 209 S Shiloh Ave

Conway, Mo. 65632

Phone: (417) 589-2171
Fax: (417) 427-7254

High School: 726 W Jefferson Ave

Conway, Mo. 65632

Phone: (417) 589-2941
Fax: (417) 379-8779

Links
US Dept of Education
MO Dept of Education
MO School Board Assoc.
Virtual Courses - MOCAP
Bids & Surplus
 

© 2019 Laclede County R-1, Email Us